CoolCat
Well-known member
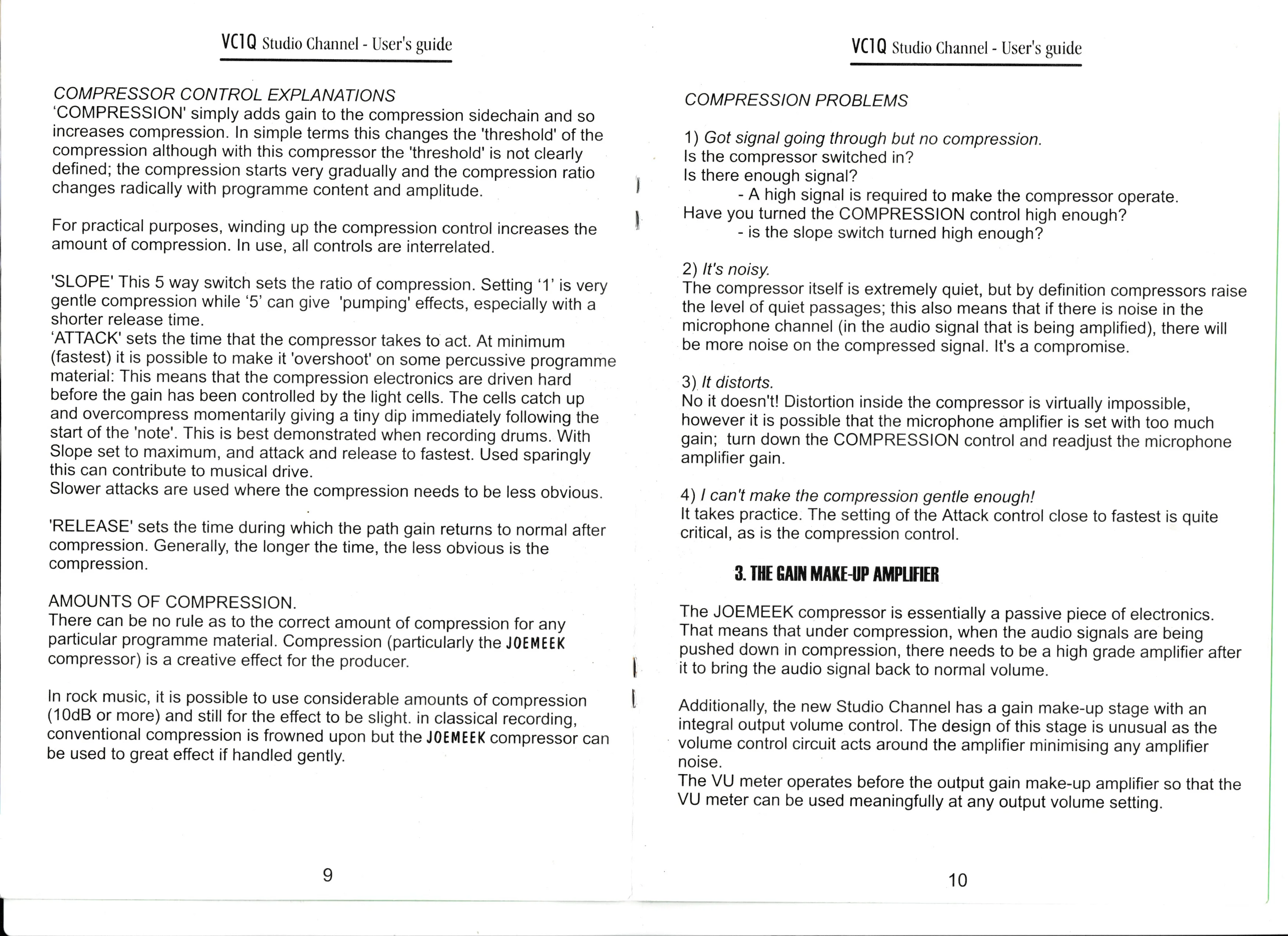
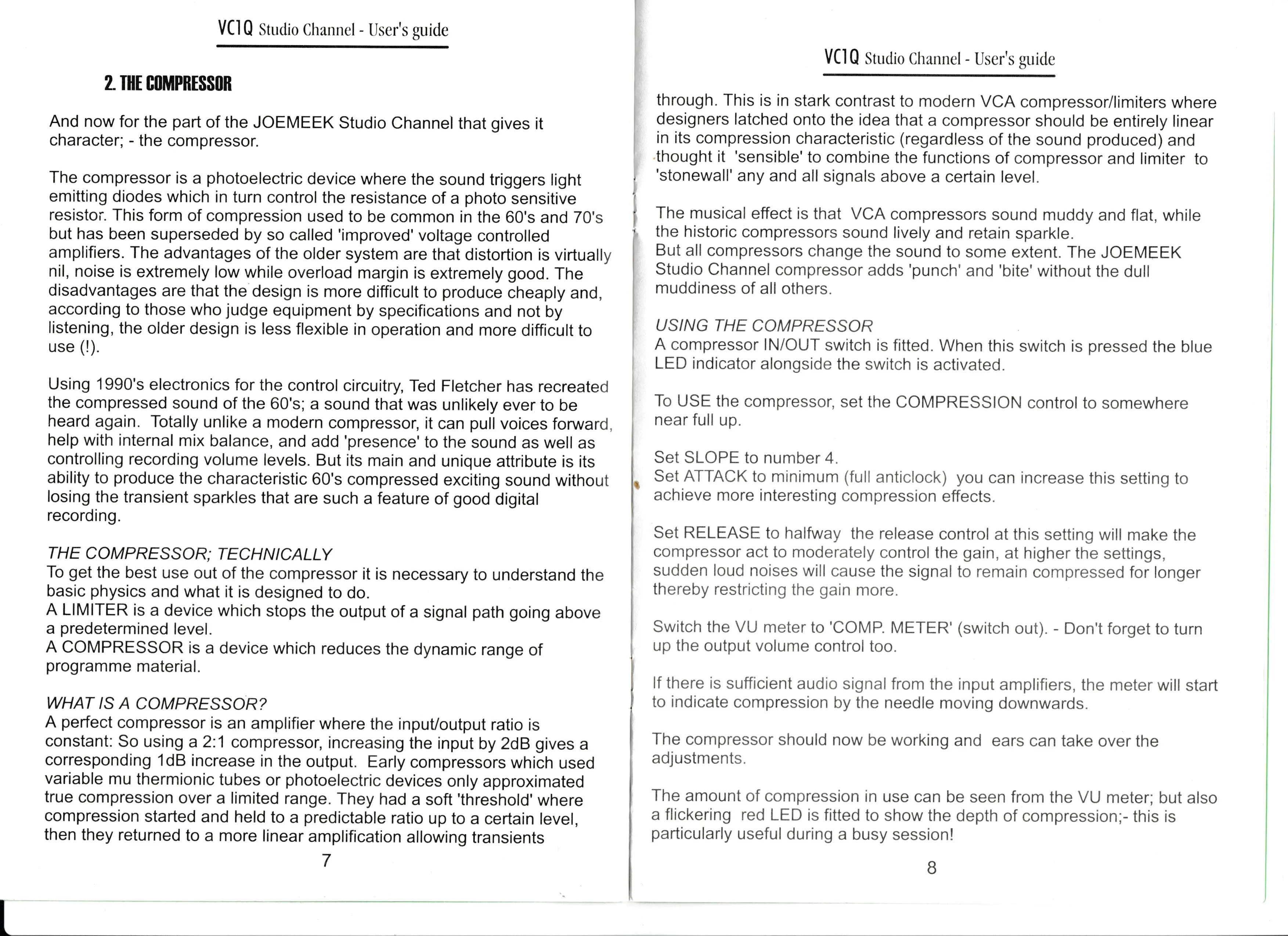
Joe Meek VC1Q. YEAR : 2000 MFG: England
Always enjoy the re-visit through the VC1 JOE MEEK piece ...and the ‘British Leyland Jade’ Green ala early Ted Fletcher JOE MEEK line.
Of all the gear its always an interesting rabbit hole read imo. One popped up with the Digital Card and great 2006 price, used $400.I bit,.
I know these units and have had the old and new, but not the Transformer out digital card version, why not try it?
I know the OEP A262A2C (A262A2E now) transformer input. The meequalizer, the photocell compressor, really a cool analog piece for anyone looking at some Channel Strip with DI included, all SWITCHCRAFT mic jack and I/O ...well done!
So just sharing some Gearhead babble...on this ice day.
1997 Starting with the super cool...VC1 "Brick"designed in 1993, released SOS 1997, short lived, possibly only 55 made, (the last 10 had VC1 printed on the front.)
Optocell comp, Enhancer for Voice, brick design like the ISA One. Hand built, "holy grail" of the line.
1998 -1999 VC1 "the Rack" version soon followed. Seems it was pretty much the same everything transformer, circuit some with gold lettering ""neve" factory(Kelso,Scotland), some with black lettering another factory (Plymouth) . Then added a phase button ver3, some chip tweeks, still using the same OEP transformer.(used in BAE stuff and other pro gear) . Not sure of all the technical revision lists. VC1 series. Enhancer chips changed for better reliability mentioned.
Basically VC1 "rack" without EQ.
2000-2001 "the EQ" version was born of the Rack VC1....enter the VC1 Q , Voice Channel w/ EQ= Q. Same OEP transformers, meekphotocell comp, meekqualizer,
(and a .VC1QD optional digital card w/ Transformer Output ) Not sure how many were built. Ted seemed to like the Enhancer as the voice channel, but I get the impression the common public wanted a EQ on the channel strip? idk. All built in England.
note:* corrected- there is a VC1Q manual, however the joemeek site doesnt have it listed. Its a small booklet, well written and specifically shows VC1Q.
note:There were only approx 20 qty VC1Q made with Transformers before switching to the CS version per design Engineer Ted Fletcher.(see pic attach)
I find this pretty cool. Unique piece and excellent built.
2001 to 2005 So the "CS" final version from the Ted Fletcher signature unit, was the VC1Q CS model. A non-transformer design pre but some good engineering tweeks per Ted's site. Ive seen some "CS" from 2002 to 2005 it seems. Still main "color" of the compressor and Meekqualizer. note from Ted: "developing unburstable mic preamp very resistant to mic cable problems" I did see a PMI MixOnline using the VC1QCS- "matches the mics impedance to the preamp- previously done with transformers. 2001...
PMI Torrence California. It was the biggest seller in quantity. VC1 family approx 250 units.
The company was bought or some ownership changed to PMI who had always been involved and took the captain seat it seems approx 2003, and the color noticeably changed to a darker green and name change to 2005 to One Q. Newer available parts and China made ...like Fender, Shure and Sennheiser and every one else was on the bandwagon pretty much. The Dark Green still keeping the cool VU and imo, the IRON button was a great idea.
2012...2023. OneQ-2 seems to be the current model. Cinemag transformer, and the IRON button lets the Line In share the "metal windings of the Cinemag. OptoComp , Meekqualizer, enhancer Deesser,
VC1Q release SOS article
www.soundonsound.com
ADD>
Unit arrived. To look under the hood the obvious screws have to be removed but also ALL the knobs and nuts on each pot....then the wires on the power on/off...
and the VU falls out and then the two smaller pcbs fall down....in short PIA. But I had to know.... all was good. Transformer as should be.
(A super surprise in the box was a RODE NT2, Australia, with the U87 square/discontinued headbasket.....apparently Neumann stopped that, as they did with the original WARM headbasket WA87. Its a good looking mic, and has Wima Caps and very clean board. Seems prices on these $200~$250. So Im happy, the VC1Q was 400 so even taking $200 for the mic is VC1Q is $200! Very nice surprise!!
ADD>
After some time most amazed at how all the units Ive bought work perfectly. The pots, the jacks, the huge VU meter, LED's...a great unit. extra Review points for having front access or on the back. Great for desktop or rack.
5 star rating from me....quality components seem to shine on this unit.
ADD> Mic Imp 3Kohm Transformer Balanced & Floating, 70db gain, Line Imp 10k, DI/Inst 150k ohm 35db
Always enjoy the re-visit through the VC1 JOE MEEK piece ...and the ‘British Leyland Jade’ Green ala early Ted Fletcher JOE MEEK line.
Of all the gear its always an interesting rabbit hole read imo. One popped up with the Digital Card and great 2006 price, used $400.I bit,.
I know these units and have had the old and new, but not the Transformer out digital card version, why not try it?
I know the OEP A262A2C (A262A2E now) transformer input. The meequalizer, the photocell compressor, really a cool analog piece for anyone looking at some Channel Strip with DI included, all SWITCHCRAFT mic jack and I/O ...well done!
So just sharing some Gearhead babble...on this ice day.
1997 Starting with the super cool...VC1 "Brick"designed in 1993, released SOS 1997, short lived, possibly only 55 made, (the last 10 had VC1 printed on the front.)
Optocell comp, Enhancer for Voice, brick design like the ISA One. Hand built, "holy grail" of the line.
1998 -1999 VC1 "the Rack" version soon followed. Seems it was pretty much the same everything transformer, circuit some with gold lettering ""neve" factory(Kelso,Scotland), some with black lettering another factory (Plymouth) . Then added a phase button ver3, some chip tweeks, still using the same OEP transformer.(used in BAE stuff and other pro gear) . Not sure of all the technical revision lists. VC1 series. Enhancer chips changed for better reliability mentioned.
Basically VC1 "rack" without EQ.
2000-2001 "the EQ" version was born of the Rack VC1....enter the VC1 Q , Voice Channel w/ EQ= Q. Same OEP transformers, meekphotocell comp, meekqualizer,
(and a .VC1QD optional digital card w/ Transformer Output ) Not sure how many were built. Ted seemed to like the Enhancer as the voice channel, but I get the impression the common public wanted a EQ on the channel strip? idk. All built in England.
note:* corrected- there is a VC1Q manual, however the joemeek site doesnt have it listed. Its a small booklet, well written and specifically shows VC1Q.
note:There were only approx 20 qty VC1Q made with Transformers before switching to the CS version per design Engineer Ted Fletcher.(see pic attach)
I find this pretty cool. Unique piece and excellent built.
2001 to 2005 So the "CS" final version from the Ted Fletcher signature unit, was the VC1Q CS model. A non-transformer design pre but some good engineering tweeks per Ted's site. Ive seen some "CS" from 2002 to 2005 it seems. Still main "color" of the compressor and Meekqualizer. note from Ted: "developing unburstable mic preamp very resistant to mic cable problems" I did see a PMI MixOnline using the VC1QCS- "matches the mics impedance to the preamp- previously done with transformers. 2001...
PMI Torrence California. It was the biggest seller in quantity. VC1 family approx 250 units.
The company was bought or some ownership changed to PMI who had always been involved and took the captain seat it seems approx 2003, and the color noticeably changed to a darker green and name change to 2005 to One Q. Newer available parts and China made ...like Fender, Shure and Sennheiser and every one else was on the bandwagon pretty much. The Dark Green still keeping the cool VU and imo, the IRON button was a great idea.
2012...2023. OneQ-2 seems to be the current model. Cinemag transformer, and the IRON button lets the Line In share the "metal windings of the Cinemag. OptoComp , Meekqualizer, enhancer Deesser,
VC1Q release SOS article
Joemeek VC1Q
The latest Joemeek processor to benefit from the company's Meequaliser technology is the new incarnation of the VC1. Paul White racks it up...
ADD>
Unit arrived. To look under the hood the obvious screws have to be removed but also ALL the knobs and nuts on each pot....then the wires on the power on/off...
and the VU falls out and then the two smaller pcbs fall down....in short PIA. But I had to know.... all was good. Transformer as should be.
(A super surprise in the box was a RODE NT2, Australia, with the U87 square/discontinued headbasket.....apparently Neumann stopped that, as they did with the original WARM headbasket WA87. Its a good looking mic, and has Wima Caps and very clean board. Seems prices on these $200~$250. So Im happy, the VC1Q was 400 so even taking $200 for the mic is VC1Q is $200! Very nice surprise!!
ADD>
After some time most amazed at how all the units Ive bought work perfectly. The pots, the jacks, the huge VU meter, LED's...a great unit. extra Review points for having front access or on the back. Great for desktop or rack.
5 star rating from me....quality components seem to shine on this unit.
ADD> Mic Imp 3Kohm Transformer Balanced & Floating, 70db gain, Line Imp 10k, DI/Inst 150k ohm 35db
Attachments
Last edited: